Skip navigation links

Package ilog.views.graphlayout.tree

The Tree Layout arranges the nodes of a tree horizontally, vertically or radially, starting from the root of the tree.

See: Description

Package ilog.views.graphlayout.tree Description

The Tree Layout arranges the nodes of a tree horizontally, vertically or radially, starting from the root of the tree. Several layout modes, alignment options and link styles are provided. Optionally, the algorithm also lays out the links of the graph.

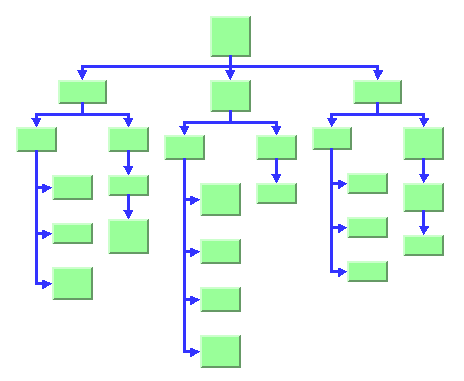
Sample drawing produced with the Tree Layout:

Left: leveled layout mode, Right: free layout mode

Click on the image to see it in normal size.

Tip-over layout mode with orthogonal link style

Click on the image to see it in normal size.

Two radial layout modes

Click on the image to see it in normal size.

Left to right with mixed alignments and mixed link styles

Click on the image to see it in normal size.
Since:
JViews2.0
See Also:
ilog.views.graphlayout
Skip navigation links

© Copyright 2024 Rogue Wave Software, Inc., a Perforce company.. All Rights Reserved.