Geometric transformation class. More...
#include <ilviews/ilv.h>
Public Member Functions | |
| IlvTransformer () | |
| Constructor. More... | |
| IlvTransformer (const IlvPoint ¢er, IlvTransfoParam angle) | |
| Constructor. More... | |
| IlvTransformer (const IlvPoint &delta) | |
| Constructor. More... | |
| IlvTransformer (const IlvRect &src, const IlvRect &dst) | |
| Constructor. More... | |
| IlvTransformer (IlvTransfoParam m11, IlvTransfoParam m12, IlvTransfoParam m21, IlvTransfoParam m22, IlvTransfoParam x0, IlvTransfoParam y0) | |
| Constructor. More... | |
| IlvTransformer (IlvTransfoParam sx, IlvTransfoParam sy, IlvPoint *point=0) | |
| Constructor. More... | |
| void | apply (IlUInt count, IlvPoint *points) const |
| Applies the transformer to a point set. More... | |
| void | apply (IlvDoublePoint &p) const |
| Applies the transformer to a point. More... | |
| void | apply (IlvFloatPoint &p) const |
| Applies the transformer to a point. More... | |
| void | apply (IlvPoint &p) const |
| Applies the transformer. More... | |
| void | apply (IlvRect &rect) const |
| Applies the transformer to a rectangle. More... | |
| void | applyAndFill (IlvRect &rect) const |
| Applies the transformer. More... | |
| void | compose (const IlvTransformer &t) |
| Computes the composition of two transformers. More... | |
| IlBoolean | compute (const IlvRect &src, const IlvRect &dst) |
| Stores the scaling and translation factors. More... | |
| IlBoolean | computeInverse (IlvTransformer &t) const |
| Stores the inverse transformation values. More... | |
| void | deltaApply (IlvPoint &p) const |
| Applies the transformer without the translation. More... | |
| IlDouble | getDeterminant () const |
| Gets the determinant of the matrix. More... | |
| void | getValues (IlvTransfoParam &m11, IlvTransfoParam &m12, IlvTransfoParam &m21, IlvTransfoParam &m22, IlvTransfoParam &x0, IlvTransfoParam &y0) const |
| Accesses the values stored in the object. More... | |
| void | getValues (IlvTransfoParam &x0, IlvTransfoParam &y0) const |
| Accesses the values stored in the object. More... | |
| IlBoolean | inverse (IlvFloatPoint &p) const |
| Applies the inverse transformation. More... | |
| IlBoolean | inverse (IlvPoint &p) const |
| Applies the inverse transformation. More... | |
| IlBoolean | inverse (IlvRect &rect) const |
| Applies the inverse transformation. More... | |
| IlBoolean | isBad () const |
| Indicates whether the transformer is reversible. More... | |
| IlBoolean | isIdentity () const |
| Indicates whether the current object represents the identity transformation. More... | |
| IlBoolean | isScale () const |
| Indicates whether the current object is a scaling transformation. More... | |
| IlBoolean | isSimilar (const IlvTransformer &other) const |
| Indicates whether a transformer is similar to the current transformer. More... | |
| IlBoolean | isTranslation () const |
| Indicates whether the current object is a translation transformation. More... | |
| void | rotate (IlvTransfoParam centerx, IlvTransfoParam centery, IlvTransfoParam angle) |
| Composes the transformer with a rotation. More... | |
| void | scale (IlvTransfoParam fixedx, IlvTransfoParam fixedy, IlvTransfoParam sx, IlvTransfoParam sy) |
| Composes the transformer with a scaling operation. More... | |
| void | setValues (IlvTransfoParam m11, IlvTransfoParam m12, IlvTransfoParam m21, IlvTransfoParam m22, IlvTransfoParam x0, IlvTransfoParam y0) |
Sets the values that define the current IlvTransformer object. More... | |
| void | setValues (IlvTransfoParam x0, IlvTransfoParam y0) |
Sets the values that define the current IlvTransformer object. More... | |
| void | translate (IlvTransfoParam dx, IlvTransfoParam dy) |
| Composes the transformer with a translation. More... | |
Geometric transformation class.
Library: xviews or winviews or mviews (mutually exclusive)
The IlvTransformer class internally computes two-dimensional affine transformations, thus allowing geometrical transformations of graphic objects. The IlvTransformer API is based on the IlvTransfoParam type.
| IlvTransformer::IlvTransformer | ( | ) |
Constructor.
This constructor sets the values of the object so that the geometric transformation is the identity transformation; that is, a transformation that does not change its operands.
| IlvTransformer::IlvTransformer | ( | IlvTransfoParam | m11, |
| IlvTransfoParam | m12, | ||
| IlvTransfoParam | m21, | ||
| IlvTransfoParam | m22, | ||
| IlvTransfoParam | x0, | ||
| IlvTransfoParam | y0 | ||
| ) |
Constructor.
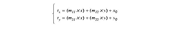
This constructor sets the values of the object so that the represented transformation will be applied by transforming the coordinates of a point p at (x, y) to a transformed point tp at (tx, ty) according to the following formula:

which leads to:

These objects are used each time a geometrical transformation is computed.
| IlvTransformer::IlvTransformer | ( | const IlvPoint & | center, |
| IlvTransfoParam | angle | ||
| ) |
Constructor.
This constructor initializes a new IlvTransformer instance that corresponds to a rotation of angle degrees around the center point center.
| center | The center point of the rotation. |
| angle | The angle of rotation in degrees. |
| IlvTransformer::IlvTransformer | ( | IlvTransfoParam | sx, |
| IlvTransfoParam | sy, | ||
| IlvPoint * | point = 0 |
||
| ) |
Constructor.
This constructor initializes a new IlvTransformer instance that corresponds to a scaling operation specified by the sx and sy parameters. This transformation will leave the point coordinates unchanged. If you do not specify this point, (0, 0) will remain fixed.
| sx | Scaling in the x direction. |
| sy | Scaling in the y direction. |
| point | Optional fixed point. |
Constructor.
This constructor initializes a new IlvTransformer instance that stores the scaling and translation factors that transforms the rectangle src to dst, with no rotation.
| src | The initial rectangle. |
| dst | The final rectangle, after transformation. |
| IlvTransformer::IlvTransformer | ( | const IlvPoint & | delta | ) |
Constructor.
This constructor initializes a new IlvTransformer instance that corresponds to the translation specified in the delta parameter.
| delta | The translation required. |
Applies the transformer to a point set.
Applies the transformer to the all points of the array points, replacing them by their transformed version.
| count | The number of points to transform. |
| points | The array of at least count points to transform. |
| void IlvTransformer::apply | ( | IlvDoublePoint & | p | ) | const |
Applies the transformer to a point.
Applies the transformer to the p parameter, which is modified by the function call.
| p | The point to transform. |
| void IlvTransformer::apply | ( | IlvFloatPoint & | p | ) | const |
Applies the transformer to a point.
Applies the transformer to the p parameter, which is modified by the function call.
| p | The point to transform. |
| void IlvTransformer::apply | ( | IlvPoint & | p | ) | const |
Applies the transformer.
Applies the transformer to the p parameter, which is modified by the function call.
| p | The point to transform. |
| void IlvTransformer::apply | ( | IlvRect & | rect | ) | const |
Applies the transformer to a rectangle.
Applies the transformer to the rect parameter, which is modified by the function call.
| rect | The rectangle to transform. |
| void IlvTransformer::applyAndFill | ( | IlvRect & | rect | ) | const |
Applies the transformer.
Calls apply(IlvRect&) with the rect parameter. It ensures that the rectangle will not be returned empty once the transformer has been applied. It does so by setting to 1 any dimension previously set to 0.
| rect | The rectangle to transform. |
| void IlvTransformer::compose | ( | const IlvTransformer & | t | ) |
Computes the composition of two transformers.
Computes the composition of two transformers. It modifies the current IlvTransformer by composing it with the one given in the t parameter. Using a mixture of mathematical and C++ notation, one could define the composed transformer as T1.compose(T2) (x) = T2(T1(x)) = T2 o T1 (x).
| t | The transformer to compose with. |
Stores the scaling and translation factors.
Stores, in the current object, the scaling and translation factors that transform the rectangle src to dst with no rotation. If this operation cannot be performed it leaves the current object unmodified.
| src | The initial rectangle. |
| dst | The final rectangle, after transformation. |
IlTrue if successful, and IlFalse otherwise. | IlBoolean IlvTransformer::computeInverse | ( | IlvTransformer & | t | ) | const |
Stores the inverse transformation values.
Stores, in the inverse parameter, the inverse transformation values of the current object.
If this operation cannot be performed it leaves inverse unmodified.
IlTrue if successful, and IlFalse otherwise. | void IlvTransformer::deltaApply | ( | IlvPoint & | p | ) | const |
Applies the transformer without the translation.
Applies the current transformer to the p parameter but without the translation parameters. This lets you compute transformed vectors.
| p | The point to transform. |
| IlDouble IlvTransformer::getDeterminant | ( | ) | const |
Gets the determinant of the matrix.

| void IlvTransformer::getValues | ( | IlvTransfoParam & | m11, |
| IlvTransfoParam & | m12, | ||
| IlvTransfoParam & | m21, | ||
| IlvTransfoParam & | m22, | ||
| IlvTransfoParam & | x0, | ||
| IlvTransfoParam & | y0 | ||
| ) | const |
Accesses the values stored in the object.
Accesses the values stored in the object.
| void IlvTransformer::getValues | ( | IlvTransfoParam & | x0, |
| IlvTransfoParam & | y0 | ||
| ) | const |
Accesses the values stored in the object.
Accesses the values stored in the object.
| IlBoolean IlvTransformer::inverse | ( | IlvFloatPoint & | p | ) | const |
Applies the inverse transformation.
Applies the inverse transformation stored in this object to the p parameter, which is modified by the function call. The argument is not modified if the transformation cannot be inverted.
| p | The point to transform. |
IlFalse if the transformation cannot be inverted. Otherwise, it returns IlTrue. Applies the inverse transformation.
Applies the inverse transformation stored in this object to p, which is modified by the function call. The argument is not modified if the transformation cannot be inverted.
| p | The point to transform. |
IlFalse if the transformation cannot be inverted. Otherwise, it returns IlTrue. Applies the inverse transformation.
Applies the inverse transformation stored in this object to the rect parameter, which is modified by the function call. The argument is not modified if the transformation cannot be inverted.
| rect | The rectangle to transform. |
IlFalse if the transformation cannot be inverted. Otherwise, it returns IlTrue. | IlBoolean IlvTransformer::isBad | ( | ) | const |
Indicates whether the transformer is reversible.
Returns an IlBoolean value that indicates whether the transformer is reversible. If it is not reversible, you cannot call inverse().
IlBoolean value that, if IlTrue, indicates that the transformer is not reversible. | IlBoolean IlvTransformer::isIdentity | ( | ) | const |
Indicates whether the current object represents the identity transformation.
Indicates whether the current object represents the identity transformation; that is, a transformation that does not change its operands.
IlTrue if the current object represents the identity transformation. Otherwise, it returns IlFalse. | IlBoolean IlvTransformer::isScale | ( | ) | const |
Indicates whether the current object is a scaling transformation.
Indicates whether the current object is a scaling transformation; that is, a transformation that applies itself without changing the definition axis of the operands. If it returns IlFalse the transformer is more complex (for example, a rotation, or a shearing effect).
IlTrue if the current object is a scaling transformation. Otherwise, it returns IlFalse. | IlBoolean IlvTransformer::isSimilar | ( | const IlvTransformer & | other | ) | const |
Indicates whether a transformer is similar to the current transformer.
Two transformers are considered as similar if the composition of one with the inverse of the other result in a transformer that is considered the identity transformer.
| other | The transformer that is tested to be similar to the current object. |
IlTrue if the current object is similar to other and IlFalse if it is not. If the current transformer cannot be inverted this method returns IlFalse. | IlBoolean IlvTransformer::isTranslation | ( | ) | const |
Indicates whether the current object is a translation transformation.
Indicates whether the current object is a translation transformation; that is, a transformation that applies itself without changing the direction and dimensions of its operands.
IlTrue if the current object is a translation transformation. Otherwise, it returns IlFalse. | void IlvTransformer::rotate | ( | IlvTransfoParam | centerx, |
| IlvTransfoParam | centery, | ||
| IlvTransfoParam | angle | ||
| ) |
Composes the transformer with a rotation.
Composes the current transformer with a rotation of angle degrees around the (centerx, centery) point.x
| centerx | Center of rotation in the x direction. |
| centery | Center of rotation in the y direction. |
| angle | Angle of rotation in degrees. |
| void IlvTransformer::scale | ( | IlvTransfoParam | fixedx, |
| IlvTransfoParam | fixedy, | ||
| IlvTransfoParam | sx, | ||
| IlvTransfoParam | sy | ||
| ) |
Composes the transformer with a scaling operation.
Composes the current transformer with a scaling operation of sx by sy, leaving the point (fixedx, fixedy) unchanged.
| fixedx | x point to leave unchanged. |
| fixedy | y point to leave unchanged. |
| sx | Scaling in the x direction. |
| sy | Scaling in the y direction. |
| void IlvTransformer::setValues | ( | IlvTransfoParam | m11, |
| IlvTransfoParam | m12, | ||
| IlvTransfoParam | m21, | ||
| IlvTransfoParam | m22, | ||
| IlvTransfoParam | x0, | ||
| IlvTransfoParam | y0 | ||
| ) |
Sets the values that define the current IlvTransformer object.
Changes the values that define the current IlvTransformer object.
| void IlvTransformer::setValues | ( | IlvTransfoParam | x0, |
| IlvTransfoParam | y0 | ||
| ) |
Sets the values that define the current IlvTransformer object.
Changes the values that define the current IlvTransformer object.
| void IlvTransformer::translate | ( | IlvTransfoParam | dx, |
| IlvTransfoParam | dy | ||
| ) |
Composes the transformer with a translation.
Composes the current transformer with a (dx, dy) translation.
| dx | Distance to translate in the x direction. |
| dy | Distance to translate in the y direction. |