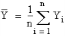
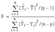
Significance of the Model (Overall F Statistic)

The overall F statistic is a statistic for testing the null hypothesis b1 = b2 = ... = bp – 1 = 0. It is defined by the equation:

where

This statistic follows an F distribution with (p-1) and (n-p) degrees of freedom.

p-Value

The p-value is the probability of seeing the value of the F statistic for a given linear regression if the null hypothesis:

b0 = b1 = ... = bp – 1 = 0

is true.

Critical Value

The critical value of the F statistic for a specified significance level, a , is the value, v, of the F statistic such that if the F statistic calculated for the multiple linear regression is greater than v, we reject the hypothesis b1 = b2 = ... = bp – 1 = 0 at the significance level a.