LINDGEN Function

Returns a longword integer array with the specified dimensions.

enabled.

Usage

    result = LINDGEN(dim1, ... , dimn)

Input Parameters

dimi—The dimensions of the result. This parameter may be any scalar expression, and can have up to eight dimensions specified.

Returned Value

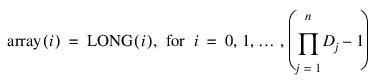
result—An initialized longword integer array. If the resulting array is treated as a one-dimensional array, then its initialization is given by:

Keywords

None.

Example

This example creates a 4-by-2 longword integer array.

; Create longword integer array.
a = LINDGEN(4, 2)
INFO, a
; PV-WAVE prints: VARIABLE     LONG        = Array(4, 2)
PRINT, a
; PV-WAVE prints the following:
;   0    1    2    3
;   4    5    6    7

See Also

BINDGEN, CINDGEN, DCINDGEN, DINDGEN, FINDGEN, I32INDGEN, INDGEN, INTARR, INT32, LINSPACE, SINDGEN