INDGEN Function
Returns an integer array with the specified dimensions.
enabled.
Usage
Input Parameters
dimi—The dimensions of the result. May be any scalar expression. Up to eight dimensions may be specified.
Returned Value
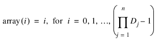
result—An initialized integer array. If the resulting array is treated as a one-dimensional array, then its initialization is given by the following:

Keywords
None.
Example
This example creates a 4-by-2 integer array.
; Create an integer array. a = INDGEN(4, 2) INFO, a ; PV-WAVE prints: VARIABLE INT = Array(4, 2) PRINT, a ; PV-WAVE prints: ; 0 1 2 3 ; 4 5 6 7
See Also
BINDGEN, CINDGEN, DCINDGEN, DINDGEN, FINDGEN, I32INDGEN, LINDGEN, LINSPACE, SINDGEN