Modeling Services > Relations > Ownership and Use Relations > Overview
 
Overview
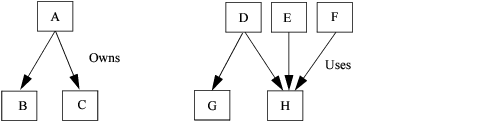
Rogue Wave® Server lets you establish two kinds of relations among C++ objects: OWNS-A relations, that we will call ownership relations, and USES-A relations, that we will call use relations.
An ownership relation is a relation in which a given object can be owned by at most one other object, called the owner. The owner, on the other hand, can own one or more objects.
A use relation is a relation in which a given object can be used by any number of objects, called the users. The user objects can also use one or more objects.
Ownership Relation and Use Relation
A relation in which an owner object owns several other objects is called a one-to-many relation, as opposed to a one-to-one relation, in which an owner object owns only one other object. The same terminology applies to use relations.
Note:  In the rest of this manual, we sometimes use the terms “origin-object” instead of owner or user object, and “target object” instead of owned or used object.
Important: The above definition applies to objects—that is, class instances—not to classes. A class can be the target of multiple relations of type OWNS-A. Likewise, a given class can declare several one-to-one relations and/or one-to-many relations.

Version 6.2.1
Copyright © 2018, Rogue Wave Software, Inc. All Rights Reserved.