RWLogisticIterLSQ
Class
RWLogisticIterLSQ uses iterative least squares for finding logistic regression parameters. Some people also refer to this algorithm as the Newton-Raphson method. The algorithm starts with a set of parameters

that corresponds to a linear fit of the data using the normal equations. Then the method repeatedly forms

at iteration k by solving the linear equations:

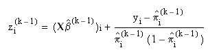
where X is the regression matrix, V(k – 1) is the diagonal matrix of variance estimates at iteration k – 1, and z(k – 1) is a vector of adjusted predictions at iteration k – 1. Element i of z(k – 1) is defined as:
The algorithm stops iterating when the size of the change in parameter values falls below a small, predetermined value. The default value is macheps(2/3), where macheps is the value of machine epsilon.
Pros: | Iterative least squares is one of the fastest algorithms for finding logistic regression parameters. |
Cons: | If the initial parameter estimate  is poor, the algorithm is not guaranteed to converge successfully, while a more sophisticated algorithm might converge. |