SourcePro Analysis
:
Business Analysis Module User’s Guide
:
Definitions
:
Logistic Regression
: Parameter Calculation
Parameter Calculation
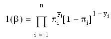
The method used to find the parameter estimates
is the method of maximum likelihood. Specifically,
is the value that maximizes the likelihood function:
The log of this equation is called the
log likelihood
, and is defined as:
This site works best with JavaScript enabled