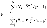
Significance of the Model (Overall F Statistic)
The
overall F statistic is a statistic for testing the null hypothesis
β1 =
β2 = ... =
βp – 1 = 0. It is defined by the equation:

where

This statistic follows an F distribution with (p-1) and (n-p) degrees of freedom.