SourcePro Analysis
:
Business Analysis Module User’s Guide
:
Definitions
:
Multiple Linear Regression
: Model Variance
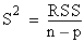
Model Variance
The variance of the model is defined to be the variance of
ε
. The statistic:
is an unbiased estimator of this variance.
This site works best with JavaScript enabled